


Description
FRU: 02JG917 Ex lease - DOM range from Feb 2020 to Feb 2022 3.84TB capacity 2.5-inch solid-state drive SATA 6Gb/s interface Caddie included
Hot-swappable design, ideal for all enterprise storage reequipments.
More available, ask for bulk options.
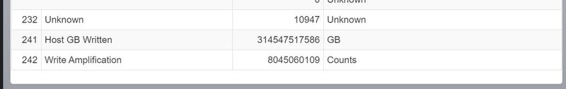
Crucial Storage Executive Summary: The SSD firmware is version MM31 and the drive exhibits strong overall health, with zero reallocated sectors, program/erase failures, ECC corrections, and end-to-end errors after accumulating 44,365 power-on hours and 278 power cycles. It has handled 1.22 PB of host writes with an average program/erase count of just 16, indicating very low wear.
Details
Shipping & pick-up options
| Destination & description | Price | |
|---|---|---|
| Anywhere in NZ that's not rural. | $20.00 | |
| Ask for this by arrangement | $5.00 | |
Seller does not allow pick-ups
Payment Options
Pay instantly by card, Ping balance or saved bank account.
Cash, NZ Bank Deposit
Questions & Answers (3)
Could you provide the data for health? thanks tigerwei (779 • 7:46 am, Fri, 14 Nov )There is a summary of the details in the listing. But i have also attached the crucial exec smart summary. All the drives are within 1% of these metrics stage2 (410 • Friday, 14 November 2025 )would you deal $300 inc shipping? I am in Auckland Albany tigerwei (779 • 2:21 pm, Sat, 15 Nov )Sure. How many are you after? stage2 (410 • Saturday, 15 November 2025 )I have added a $5 ship option you can choose for a local Albany address Seller comment Saturday, 15 November 2025
Lenovo ThinkSystem SSD - SATA
About the seller
stage2
99.3% positive feedback( 410This seller supports Save the Kiwi

The success fee from this item will be rounded up to the nearest dollar and the difference donated to Save the Kiwi: Protecting kiwi and the places they live.



